我院徐蜜蜜讲师和徐海明教授利用2000-2011年TRMM卫星观测的三维降水率和降水类型、QuikSCAT和ASCAT卫星观测的海表矢量风、CloudSat卫星观测的三维云结构,以及NCEP CFSR再分析资料研究了在梅雨雨带由东海黑潮锋暖侧北移至其冷侧的过程中降水结构的变化及海洋锋对梅雨雨带的影响,所得结果如下:
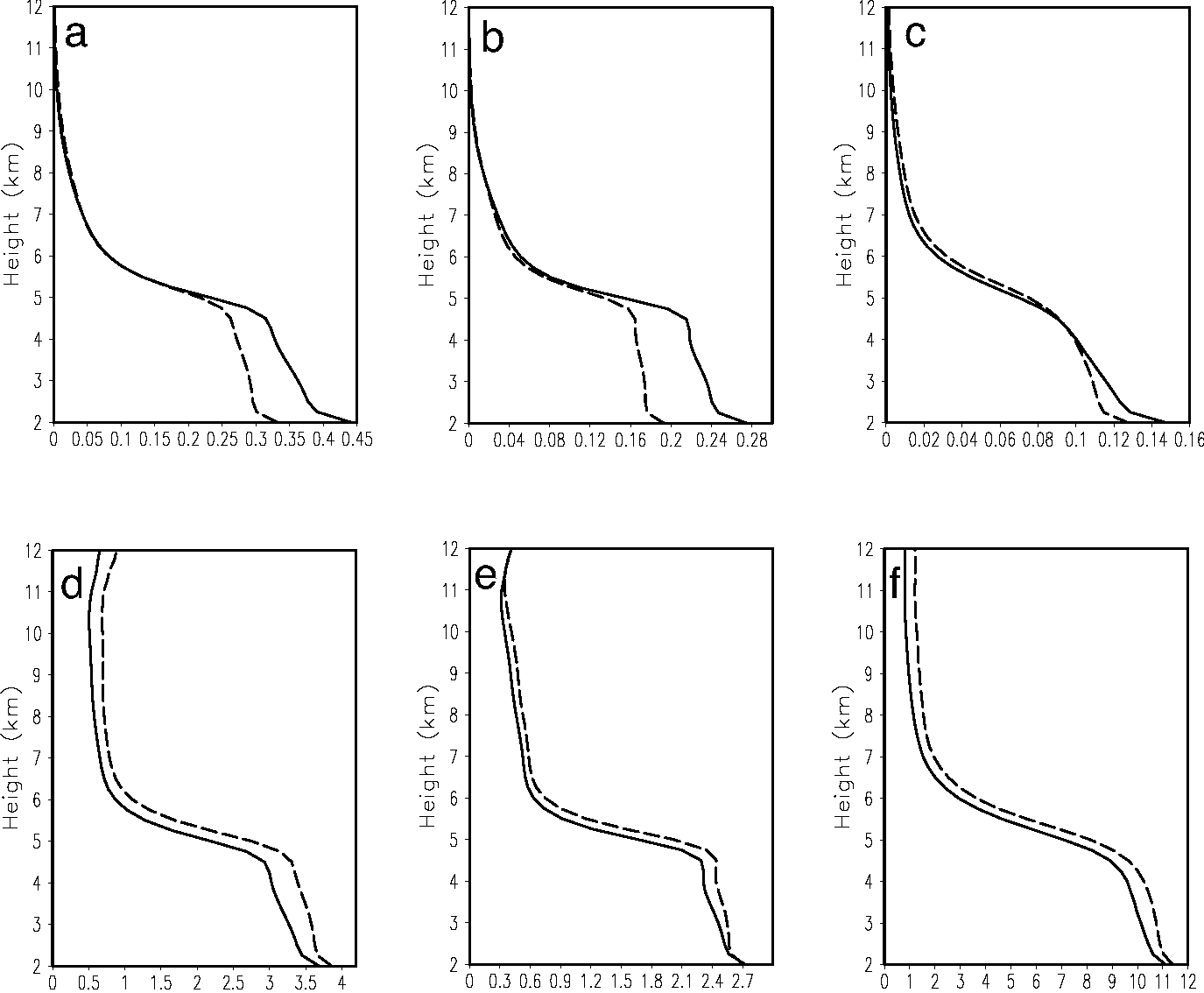
气候态雨带在第35候位于海洋锋上空,以第35侯为基准,选取之前30天(5月21日-6月19日)和之后30天(6月25日-7月24日)作为北移前(暖侧)和北移后(冷测)的研究时段。由3B42降水率沿切SST锋区直线AB的时间剖面可见,近地表降水率于33-34侯达到峰值,此时雨带正位于黑潮暖舌上空;之后降水迅速减小,在雨带刚到达海洋锋冷侧时(36侯)降水率最小,然后在继续北移过程中(7月)雨带又开始增强,但不如北移前的降水率大。此外,当雨带位于海洋锋暖侧时,其位置偏向梅雨锋东南侧;当雨带北移至海洋锋冷测后基本与梅雨锋对应。由前后两个时段近地表降水率的空间分布可见,北移前近地表的平均降水率大于北移后,大降水中心沿SST暖舌分布,而此时大范围的梅雨锋区则是准纬向分布的,表现出局地海温对梅雨雨带的影响。北移后雨带位置与梅雨锋区相重合。从两个时段各自雨带区域平均的降水廓线来看,梅雨雨带北移前和北移后平均降水率的差异大致从冻结层高度以下逐渐增大,特别是层云雨。与之相反,总、层云、对流雨的条件降水率在各高度都是后期大于前期(近地表层云雨除外),于3-5Km差异最大。降水频次的空间分布表现出,雨带北移前东海层云雨和对流雨的高频区都沿着SST暖舌分布,其中层云降水频次约为10-16%,对流降水频次约1.5-3%;雨带北移后两种雨型的降水频次都下降,层云雨频次减少更多。为了进一步找到雨带北移后减少的究竟是什么样的降水,我们对三种类型的降水频次根据“雨顶”高度和地表雨强进行分类,发现近地表的平均降水率北移后减小,但这不是因为降水强度下降导致的,而是来自降水频次的减少,并且减少的主要是浅 ~中等深度、弱 ~中等强度的降水。北移后雨带中层云降水的比重减少,对流降水的比重增大。云的观测结果与TRMM观测的降水特征基本一致。详细结论请参见2018年发表在期刊Climate Dynamics的文章(Xu et al., 2018),部分图表如下:

(a) Daily climatology of 3B42 precipitation (color, mm/d), SST (black contours, interval: 1°C)and 925-700hPa averaged meridional gradients of equivalent potential temperature θe(blue contours,K/lat) along lineAB with 7-day running mean. The Meiyu front is identified by (b) Climatology of 3B42 precipitation (color, mm/d) and Meiyu front (K/lat) in the pre-SST front stage (5.21-6.19)(c) Same as (b), but for the post-SST front stage (6.25-7.24)

Profiles of TRMM 2A25 (a,d) total, (b,e) stratiform and (c,f) convective precipitation in the period of 5.21-6.19 (solid) and 6.25-7.24 (dashed). Top (bottom) panels are unconditional (conditional) rain rates (mm/h). Precipitation profiles are averaged over the location of each rainband in two periods, which is defined by areas in the ECS with precipitation larger than 8 mm/d for 5.21-6.19 and 6 mm/d for 6.25-7.24 in Fig1b c, respectively.

Frequency occurrence(%) of TRMM 2A25 (a,b) stratiform and (c,d) convective precipitation during 2000-2011 in the pre-SST front stage(left) and post-SST front stage(right). Climatology of AVHRR SST (°C) for each stage is plotted in contours.The frequency is defined as the number of one specific type of rainfall divided by the number of effective observations.

Pre-SST front stage(solid) and post-SST front stage(dashed) precipitation frequency (%,y-coordinate) classified by rain-top height (left) and surface rain intensity (right) for total (a,b), stratiform (c,d) and convective rain (e,f). In two periods, rain frequency is calculated over each rainband location.
参考文献:Xu, M., Xu, H. & Ren, H. Clim Dyn (2018) 50: 1243. https://doi.org/10.1007/s00382-017-3681-2