北极低平流层在短期和长期时间尺度上的温度变化对于预测北极涡旋中臭氧损失的程度至关重要。
近日,我院刘仁强教授与其研究生在国际著名期刊《Journal of the Atmospheric Sciences》上发表了题为“Verification of an approximate thermodynamic equation with application to study on Arctic stratospheric temperature changes”的相关论文。
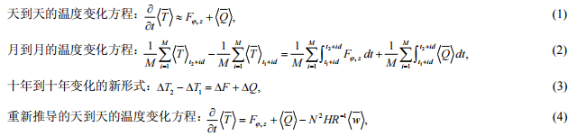
文章首先根据平流层行星波动力加热的涡动热通量(EHF)近似理论构造了一个月到月的温度变化方程,并将其推广到十年到十年变化的新形式。然后采用ERA-Interim再分析1980-1999年的日资料,对这些方程进行验证,并给出了对北极低平流层温度年代变化及趋势进行归因的一个应用实例。结果表明,在100 hPa上,北极月到月的温度增量与动力加热和非绝热加热相比是一个小项,后者是两个相抵消的大项,但各项的年代变化并非如此。对当前月温度趋势的研究结果与其它文献报道基本一致,动力作用是北极低平流层冬季温度趋势的主导因素并且在冬季内不一致,而辐射贡献在夏季占主导。各月温度增量项与累积的动力和非绝热加热之和在气候平均的年循环意义上接近平衡,它们的年代际变化也近似平衡。然而,由于相关项的偏差或不确定性,以及理论上的准地转近似和动力加热的涡动热通量近似,这两种情况下都存在一些不平衡。最后,他们直接从欧拉纬向平均方程出发导出了EHF近似能否成立的一个限制条件。
这项工作发表在J. Atmos. Sci.杂志2019年第1期第1篇,审稿人评价“I very much welcome the authors' approach and believe that this is an important work.”


图.(a)北极(60-90° N)100 hPa当前各月温度的十年际变化(1990s减1980s,红色)和趋势(黑色);(b)当前各月温度十年际变化(红色)和趋势(黑色)的动力加热部分;(c)当前各月温度十年际变化(红色)和趋势(黑色)的非绝热加热部分。误差条表示在2σ水平上趋势的不确定性。
Liu R. Q., Fu Y. Y., 2019. Verification of an approximate thermodynamic equation with application to study on Arctic stratospheric temperature changes. J. Atmos. Sci., 76, 3-9, DOI: 10.1175/JAS-D-18-0109.1