2021年7月5日我国发射了全球首颗晨昏轨道极轨卫星FY-3E,其上搭载了我国新一代微波温度计MWTS-III (Microwave Temperature Sounder-III),作为首颗晨昏轨道卫星上搭载的新一代微波温度计,明确其误差特征是实现MWTS-III资料有效同化应用的前提。
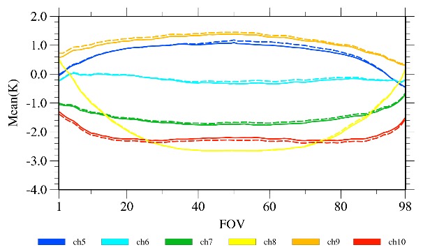
我院的秦正坤教授和博士研究生钱小立同学,与中国气象局数值中心的李娟研究员一起,利用MWTS-III上新增的23.8和31.4GHz窗区通道反演了洋面地区的云液态水路径,实现了基于观测资料自身的晴空资料识别,在此基础上,分析了MWTS-III在太平洋地区误差和偏差随视场及纬度带的变化特征。结果表明基于新增通道反演得到云水路径与ERA5云水产品有很好的相似性,基于反演结果的云检测效果一定程度上优于再分析资料的云水路径产品(图1)。MWTS-III各通道晴空点观测和模拟亮温差(O-B)的均值和标准差均小于2.0K。其中大多数通道的O-B标准差小于1.0K,而通道1-4和通道17的标准差为1-1.5K。此外,通道1-10的O-B均值和标准差呈现明显的对称变化(图2)。

图1:2021年9月11-25日太平洋上各通道晴空点O-B的标准差。MWTS-III和ERA5的标准偏差(红线和蓝线,右y轴);MWTS-III和ERA5偏差间的差异(黑线和阴影区域,左y轴)




图2:2021年9月11-25日太平洋上通道1-10 O-B均值(左列)和标准差(右列)随FOV的变化
详细信息请见:
Qian, X., Z. Qin, J. Li, Y. Han, and G. Liu, 2022: Preliminary Evaluation of FY-3E Microwave Temperature Sounder Performance Based on Observation Minus Simulation. Remote Sens., 14, 2250.